
Desert Dust, Gobi
Practical significance
Interpretation of remote sensing data. Analogues of other planets' atmospheric dust, and dust in comets, asteroids, and circumstellar shells.
Origin
Collected directly from the top of cars in Beijing during a dust storm in 2006.
Main constituent
Composition considered to be similar to Sahara sand (quartz, clay minerals and calcium carbonate)
Cosmic analogs density
compact
Color
Yelowish powder
Particle size Mie: reff (μm)
7.6
Particle size Mie: veff
1.6
Particle size Fraunhofer: reff (μm)
4.6
Particle size Fraunhofer: veff
2.9
Size distribution plot:

Size distribution table
SEM/TEM images:

All SEM/TEM images (zip file)
Scattering matrix (1) wavelength in nm
488.00 nm
Scattering matrix (1) table
Scattering matrix (1) plot:

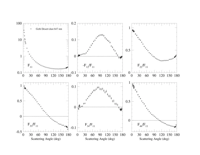
Scattering matrix (2) wavelength in nm
647.00 nm
Scattering matrix (2) table
Scattering matrix (2) plot:

Refractive index
Estimated to be in the range [1.5 -1.7] + i[0.00001-0.001]
Angle range (deg)
[3,177]
Reference/s