
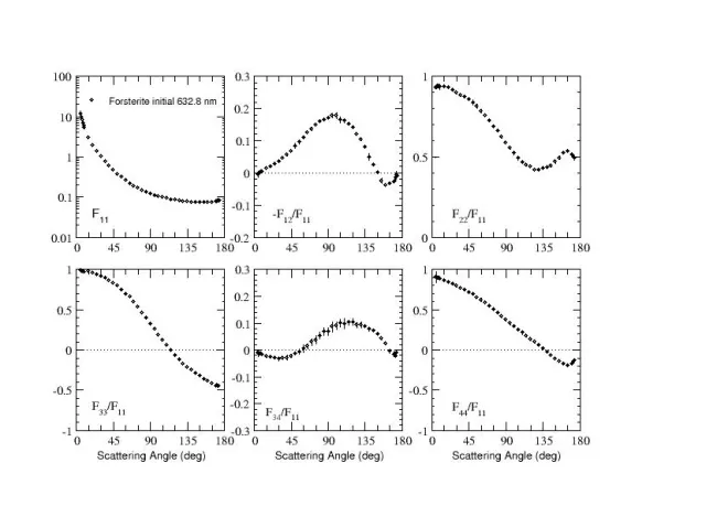
Forsterite Initial
Practical significance
Cometary dust analog
Origin
Rock collected in North Carolina, USA. Powder produced in Naples, Italy.
Main constituent
Mg1.9Fe0.1SiO4, i.e. 95% pure forsterite
Color
White
Particle size Fraunhofer: reff (μm)
1.8
Particle size Fraunhofer: veff
5.4
Size distribution plot:

Size distribution table
Particle shape
Irregular
SEM/TEM images:

All SEM/TEM images (zip file)
Scattering matrix (1) wavelength in nm
632.80 nm
Scattering matrix (1) table
Scattering matrix (1) plot:

Refractive index
1.63 + i0.00001 (Dorschner et al. 1995)
Angle range (deg)
[5,173]
Reference/s