
Feldspar
Practical significance
Interpretation of remote sensing data. Analogues of other planets' atmospheric dust, and dust in comets, asteroids, and circumstellar shells
Origin
Crushed piece of Feldspar rock from Finland
Main constituent
K-feldspar, plagioclase, quartz
Color
Light pink to white
Particle size Fraunhofer: reff (μm)
1.0
Particle size Fraunhofer: veff
1.0
Size distribution plot:

Size distribution table
Particle shape
Irregular
SEM/TEM images:


All SEM/TEM images (zip file)
Scattering matrix (1) wavelength in nm
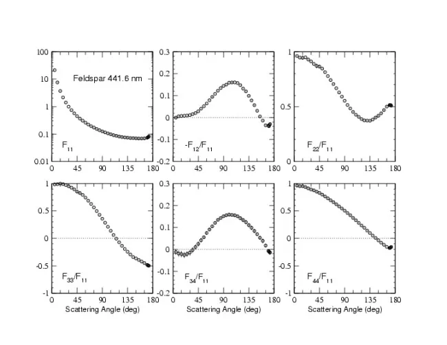
441.60 nm
Scattering matrix (1) table
Scattering matrix (1) plot:

Scattering matrix (2) wavelength in nm
632.80 nm
Scattering matrix (2) table
Scattering matrix (2) plot:

Refractive index
Estimated to be in the range [1.5-1.6] + i[0.00001-0.001]
Angle range (deg)
[5,173]
Reference/s