
Lunar analog (JSC-1A)
Practical significance
Mare lunar regolith simulant.
Origin
The JSC-1A material was mined from a commercial cinder quarry at Merriam Crater, a volcanic cinder cone located in the San Francisco volcano field near Flagstaff, Arizona. The sample was produced to match the Apollo 14 sample 14163. No chemical processing was performed on the simulant.
Main constituent
Basaltic ash with a high glass content
Color
Dark grey
Particle size Mie: reff (μm)
15.85
Particle size Mie: veff
2.28
Particle size Fraunhofer: reff (μm)
10.50
Particle size Fraunhofer: veff
1.69
Size distribution plot:

Size distribution table
Particle shape
Irregular
SEM/TEM images:

All SEM/TEM images (zip file)
Scattering matrix (1) wavelength in nm
488.00 nm
Scattering matrix (1) table
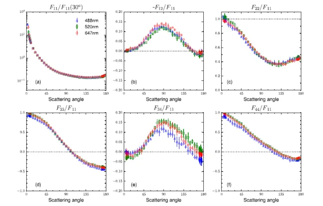
Scattering matrix (1) plot:

Scattering matrix (2) wavelength in nm
520.00 nm
Scattering matrix (2) table
Scattering matrix (2) plot:

Scattering matrix (3) wavelength in nm
647.00 nm
Scattering matrix (3) table
Scattering matrix (3) plot:

Synthetic scattering matrix (1) wavelength in nm
488.00 nm
Synthetic scattering matrix (1) table M
Synthetic scattering matrix (1) table F
Synthetic scattering matrix (2) wavelength in nm
520.00 nm
Synthetic scattering matrix (2) table M
Synthetic scattering matrix (2) table F
Synthetic scattering matrix (3) wavelength in nm
647.00 nm
Synthetic scattering matrix (3) table M
Synthetic scattering matrix (3) table F
Refractive index
1.65 + i0.003 (Goguen et al. 2010)
Angle range (deg)
[3,177]
Reference/s