
Martian analog (palagonite)
Origin
volcanic ashes collected on Hawaii by Ted Roush, palagonite sample 91-16. The sample was sieved before it was used. For more information see Banin et al. 1997
Main constituent
Palagonite
Color
Red brown
Particle size Fraunhofer: reff (μm)
4.5
Particle size Fraunhofer: veff
7.3
Size distribution plot:

Size distribution table
Particle shape
Irregular
SEM/TEM images:

All SEM/TEM images (zip file)
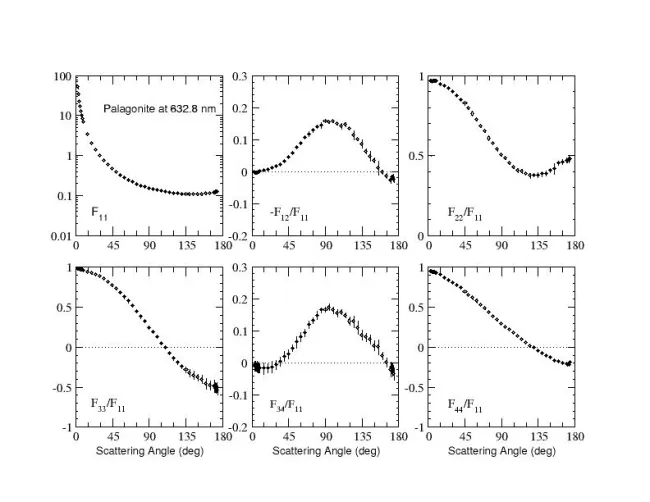
Scattering matrix (1) wavelength in nm
632.80 nm
Scattering matrix (1) table
Scattering matrix (1) plot:

Synthetic scattering matrix (1) wavelength in nm
632.80 nm
Synthetic scattering matrix (1) table F
Refractive index
1.5 + i[0.0001-0.001]
Angle range (deg)
[3,174]
Reference/s