
Meteorite Allende (Amsterdam)
Origin
Crushed piece of meteorite Allende
Main constituent
Olivine
Color
Dark grey
Particle size Fraunhofer: reff (μm)
0.8
Particle size Fraunhofer: veff
3.3
Size distribution plot:

Size distribution table
SEM/TEM images:

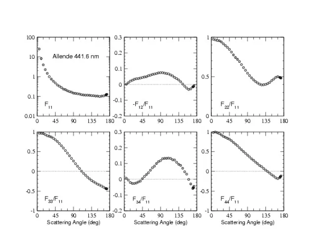
Scattering matrix (1) wavelength in nm
441.60 nm
Scattering matrix (1) table
Scattering matrix (1) plot:

Scattering matrix (2) wavelength in nm
632.80 nm
Scattering matrix (2) table
Scattering matrix (2) plot:

Refractive index
1.65 + i0.001 (estimation based on constituents)
Angle range (deg)
[5,173]
Reference/s